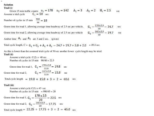
Signal Design By Webster Method
A Geometric Design Method For Intersections With Pre Signal Systems Using A Phase Swap Sorting Strategy
Signalized Intersections Ppt Download
Traffic Signal Design Webster Method Transportation Engineering Youtube
Solved 5 Pts Use The Webster S Optimal Cycle Length M Chegg Com
Intersection Control Signal Timing For Different Color Indications Ppt Download
Http Www Victorknoop Eu Isttt Tutorials Gartner Tmc1 Trafficsignalcontrol Pdf
Calculation Of Traffic Signal Timings Webster S Method Note13 Traffic Intersection Road
Design Of Signal Timing Plan For Urban Signalized Networks Including Left Turn Prohibition
Http Pbw Eng Cu Edu Eg Wp Content Uploads Sites 14 Pbw1 2016 Notes 8 Intersection Design And Control Pdf
Https Encrypted Tbn0 Gstatic Com Images Q Tbn And9gcrouduhguym5sja6h7lu0sw2e1 Eaojdcddancdabogyn60mrv Usqp Cau
Http Www Ijesrt Com Issues 20pdf 20file Archives 2015 July 2015 5 Study 20of 20automatic 20traffic 20signal 20system 20for 20chandigarh Pdf
Https Www Irjet Net Archives V3 I4 Irjet V3i4224 Pdf
Https Www Ijirset Com Upload 2019 December 26 Traffic Pdf
Research On The Traffic Control Optimization At Weigong Village Intersection In Beijing Scientific Net
Pdf A Comparison Of Delay At Signal Controlled Intersections Based On Different Methods
Evaluation Of A Dynamic Signal Optimisation Control Model Using Traffic Simulation Sciencedirect
Ppt Lec 15 Ch 8 Pp 291 304 Signal Timing Objective Powerpoint Presentation Id 545741
Https Www Dot State Al Us Dsweb Divted Trafficdesign Pdf Aldottrafficsignalmanual Pdf
Traffic Signal Design Webster Method Youtube
A Geometric Design Method For Intersections With Pre Signal Systems Using A Phase Swap Sorting Strategy
For The Geometric And Traffic Characteristics Shown Below Determine A Suitable Signalphasing System And Phase Lengths For The Intersection Using The Webster Method Show A Detailed Layout Of The Phasing System And
Https Easychair Org Publications Download Jbzc
Intersection Control Signal Timing For Different Color Indications Ppt Download
Intersection Design Traffic Traffic Light
Design Of Signal Timing Plan For Urban Signalized Networks Including Left Turn Prohibition
Intersection Control 2 Traffic Land Transport
Design Of Signal Timing Plan For Urban Signalized Networks Including Left Turn Prohibition
Solved 5 Pts Use The Webster S Optimal Cycle Length Me Chegg Com
Webster S Method Of Traffic Signal Design Numerical
Energies Free Full Text Evaluating The Environmental Impact Of Bus Signal Priority At Intersections Under Hybrid Energy Consumption Conditions Html
Intersection Control Signal Timing For Different Color Indications Ppt Download
Http Www Ijstr Org Final Print Feb2020 Efficient And Economical Movement For Road Users By Design Of At Grade Signalized Intersection At Alugunur Pdf
Small Application Green Time Splits Using Webster Method Download Table
Https Www Irjet Net Archives V3 I4 Irjet V3i4224 Pdf
A Suitable Signal Timing For The Intersection Ques Chegg Com
Https Arxiv Org Pdf 1904 08117
Https Www Irjet Net Archives V3 I4 Irjet V3i4224 Pdf
Traffic Signal Timing Manual Chapter 6 Office Of Operations
Lec 15 Ch 8 Pp Signal Timing Objective Ppt Video Online Download
A Geometric Design Method For Intersections With Pre Signal Systems Using A Phase Swap Sorting Strategy
Solved Using The Webster Method Determine A Suitable Sig Chegg Com
Lec 04 Traffic Signal And Coordination Traffic Traffic Light
Traffic Signal Time By Irc Method
Top Pdf Dynamic Pcu And Estimation Of Capacity Of Urban Road 1library
A Question On Traffic Signal Timing Calculation T Chegg Com
Http Www Signaltiming Com The Signal Timing Manual 08082008 Pdf
Https Www Tn Gov Content Dam Tn Tdot Documents Tdot Traffic Design Manual Chapter 07 Dec2016 Pdf
Https Www Ijser Org Researchpaper Design Of Traffic Signal At Kundahallli Junction Bengaluru Karnataka Pdf
Pdf Signal Design For T Intersection By Using Webster S Method In Nandyal Town Kurnool District Of Andhra Pradesh Irjet Journal Academia Edu
Research On Road Traffic Signal Timing Method Based On Picture Self Learning Springerlink
Intersection Control Signal Timing For Different Color Indications Ppt Download
Https Encrypted Tbn0 Gstatic Com Images Q Tbn And9gcsp Aafoimnf Vv5g Q7gvxt4g59ix7ljxjqtv7vfpnsy9yh4me Usqp Cau
Lec 13 Traffic Light Signals Transportation Engineering Dr Lina Shbe
Design Of Traffic Signal By Webster Method Traffic Engineering Youtube
Https Www Ijirset Com Upload 2017 Nctacme 12 23 Nctacme 17 20ce 006 03 Pdf
A Geometric Design Method For Intersections With Pre Signal Systems Using A Phase Swap Sorting Strategy
Solved For The Geometric And Traffic Characteristics Show Chegg Com
Small Application Green Time Splits Using Webster Method Download Table
Webster Method Of Signal Design Traffic Signs Traffic Highway Engineering Youtube
Https Arxiv Org Pdf 1904 08117
Signal Timing On A Shoestring Iii Signal Timing Tool Box
Computing Optimum Traffic Signal Cycle Length Considering Vehicle Delay And Fuel Consumption Sciencedirect
Pdf Methods For Optimization Of Signal Cycle Length Grd Journals And Vipin Yadav Academia Edu
Small Application Green Time Splits Using Webster Method Download Table
Http Onlinepubs Trb Org Onlinepubs Trr 1983 905 905 020 Pdf
A Geometric Design Method For Intersections With Pre Signal Systems Using A Phase Swap Sorting Strategy
Https Www Irjet Net Archives V3 I4 Irjet V3i4224 Pdf
Comparison Between Webster S Model Search Algorithm Regression Download Scientific Diagram
Solved For The Traffic Characteristics And Signal Phasing Chegg Com
Https Www Irjet Net Archives V3 I4 Irjet V3i4224 Pdf
Civil Gate 2017 Question No 33 Traffic Engineering Control Devices Signal Design By Webster S Method
Intersection Control Considering Channelized Section Spillback Using A Flexible Phase Plan Journal Of Transportation Engineering Vol 142 No 1
Computing Optimum Traffic Signal Cycle Length Considering Vehicle Delay And Fuel Consumption Sciencedirect
Traffic Signal Design Webster Method Transportation Engineering Youtube
Https Www Irjet Net Archives V3 I4 Irjet V3i4224 Pdf
Webster S Method Of Traffic Signal Design Youtube
Solved 2 For The Diagram And Information Below Determin Chegg Com
Solved Kindly Solve Showing Detailed Work Transportatio Chegg Com
Https Www Tn Gov Content Dam Tn Tdot Documents Tdot Traffic Design Manual Chapter 07 Dec2016 Pdf
Traffic Signal Time By Irc Method
Problems On Webster Method Of Signal Design Youtube
Http Citeseerx Ist Psu Edu Viewdoc Download Doi 10 1 1 520 8324 Rep Rep1 Type Pdf
Webster Method Design Of Traffic Signal Traffic Engineering Lec 6
Development Of An Optimization Traffic Signal Cycle Length Model For Signalized Intersections In China
Intersection Control Signal Timing For Different Color Indications Ppt Download
Lecture 08 Traffic Signal Design Youtube
Http Onlinepubs Trb Org Onlinepubs Nchrp Nchrp Rpt 233 Pdf











